What is a SIP Calculator?
A SIP calculator is an easy-to-use financial tool that provides an estimate of the returns on investments made through systematic investment plans. As SIPs become increasingly popular among new-age investors, such calculators help individuals forecast the expected maturity amount of their investments.
These SIP calculators offer only estimated returns since actual gains depend on market conditions, fund performance, expense ratios, and exit loads (if applicable). The calculator focuses on projecting wealth gain and expected returns based on your monthly contributions and assumed annual return rate.
How Can a SIP Return Calculator Help You?
SIPs are often considered more convenient and disciplined compared to lump-sum investments. They help build a long-term habit of savings and financial planning.
Using an online SIP calculator offers several benefits:
- Helps determine how much you need to invest regularly
- Shows your total invested amount over time
- Provides an estimate of your future returns
- Supports financial planning through clear projections
How Do SIP Calculators Work?
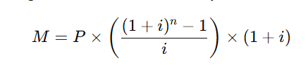
A SIP calculator uses the following formula to estimate maturity value:

Where:
- M = Maturity amount
- P = Amount invested at regular intervals
- n = Total number of installments
- i = Periodic (monthly) rate of interest
Example
You invest ₹1,000 per month for 12 months at an annual return rate of 12%.
A common mistake is dividing the annual rate by 12 (12% ÷ 12 = 1%), which is inaccurate because returns are compounded. Instead, convert annual returns into monthly returns using:

For a 12% annual return:

Using this rate:

This gives an approximate maturity value of ₹12,766 after one year.
Do note that SIP returns fluctuate based on market performance.
How to Use the SIP Calculator on NewsOfMarkets
Using the SIP calculator on newsofmarkets.com is simple:
- Enter the monthly investment amount
- Enter the investment duration (in years)
- Enter the expected annual rate of return
The calculator will instantly display your estimated maturity amount and total wealth gained.
Advantages of Using the SIP Calculator on NewsOfMarkets
Our SIP calculator offers several benefits:
- Helps you plan investments based on preferred amount and tenure
- Provides estimated future value of your portfolio
- Offers accurate, instant calculations, saving time
- Assists in structuring a savings and investment strategy aligned with your financial goals


